Golfito abre oportunidades: 25 locales en el Depósito Libre Comercial buscan nuevos concesionarios
La concesión de 25 locales comerciales se abre para fortalecer el desarrollo económico y educativo de la región.
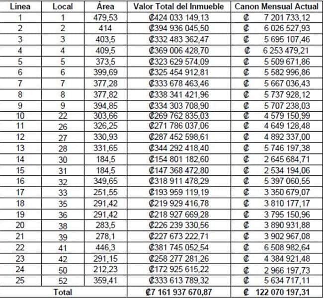
Los locales disponibles cuentan con áreas entre 184,5 m² y 479,53 m², y los precios de alquiler mensual oscilan entre ₡2.534.194,06 y ₡7.201.733,12, según la ubicación y características de cada espacio. La concesión se otorgará por 10 años, y el plazo para presentar ofertas vence el próximo 10 de noviembre de 2025, a través de la plataforma SICOP (www.sicop.go.cr).
Durante los últimos cinco años, el Depósito ha recibido 538.468 visitantes, y las ventas promedio anuales de los últimos tres años superan los $124,3 millones de dólares, consolidándolo como un motor de desarrollo económico para la Zona Sur.
Compras que impulsan la educación
Según Licda. Jasmín Porras Mendoza, Presidenta de Junta Directiva JUDESUR, “cada compra realizada en el Depósito Libre Comercial ayuda directamente a los habitantes de la región, al financiar becas para estudiantes”.
Por ejemplo, cada compra en el Depósito Libre Comercial es libre de impuestos y contribuye al financiamiento de becas de secundaria, para estudiantes de escasos recursos económicos residentes en los cinco cantones de la Zona Sur.
Además, Porras invita a los costarricenses a aprovechar la visita para combinar compras y turismo. “La Zona Sur ofrece playas, gastronomía local y precios atractivos".
Con esta iniciativa, el Depósito Libre Comercial de Golfito se posiciona como un espacio donde el desarrollo económico, la educación y el turismo se conectan, generando beneficios tangibles para toda la comunidad de la Zona Sur.
Para más información sobre el proceso de contratación y condiciones, visite www.sicop.go.cr.
Tarifas de locales comerciales



- En esta Nota: Comercio - compras - comunidad - Depósito Libre Comercial de Golfito - Golfito - JUDESUR
- | Vistas: 8959
¿Qué le pareció esta nota?




